微软专利为XR设备的LBS激光束扫描系统提出自适应校准方法
自适应校准方法
(映维网Nweon 2025年12月10日)XR设备中的LBS激光束扫描系统存在一个问题:由于温度变化、老化等因素,其微机电系统镜片的共振频率会发生漂移,导致图像失真、功耗增加甚至硬件损坏。现有解决方案依赖复杂且低效的多控制器协调,所以微软在一份专利申请中本提出了一种自适应校准方法,通过在系统启动等时机动态调整抑制共振的滤波器参数,从而提升显示稳定性、图像质量与设备可靠性。
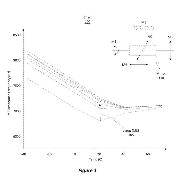
在一个实施例中,LBS显示设备包括快速扫描(FS)镜和慢速扫描(SS)镜,所述LBS显示设备由输入控制信号驱动,其中所述方法包括:建立条件,当检测到该条件时,触发所述LBS显示设备的重新校准事件,其中所述重新校准事件包括确定所述SS镜的谐振频率;基于所确定的谐振频率,确定将随后应用于所述输入控制信号的阻尼器的一组控制参数。当应用于所述输入控制信号时,所述阻尼器用于将所述SS镜的频率响应的峰值幅度衰减至达到或低于阈值的峰值。

图1图表100显示了在不同时间记录的SS镜的各种谐振频率。例如,图表100绘制了七种不同的谐振频率。每个谐振频率代表SS镜的谐振运动。
......(全文 4641 字,剩余 4220 字)
请微信扫码通过小程序阅读完整文章或者登入网站阅读完整文章
映维网会员可直接登入网站阅读
PICO员工可联系映维网免费获取权限


